- Influencers
- 0xMaki

0xMaki
0xMaki is a prominent on-chain cryptoanarchist dedicated to empowering Solo Stakers. They share profound insights and radical perspectives on decentralized technology and blockchain autonomy across their Twitter platform. Engage with their content for a deeper understanding of the ethos behind self-sovereign crypto participation.
Recent Promotions
No promotions recorded yet.
Promoted projects will appear here.
Latest X Posts
https://paragraph.com/@heroglyphs/seba https://t.co/SqdnbdUJWY

Seba onboarding period is live! https://seba.heroglyphs.com/ Learn more here: https://docs.heroglyphs.com/seba
https://t.co/bvGsK4GWIQ

https://x.com/0xmaki/status/1955211404492873751?s=46&t=gaFOyyp-oCzyLIHeVDz7RQ
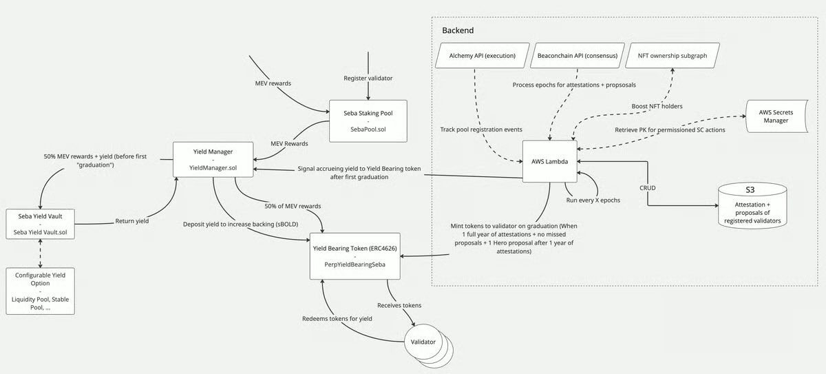
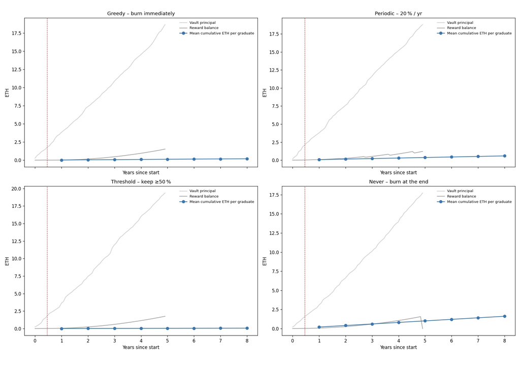
Early simulations on Seba https://t.co/4QTaif3eJc

Frequently Asked Questions
Related Influencers
vitalik.eth
vitalik.eth offers profound insights into blockchain technology, the evolution of Ethereum, and the broader Web3 ecosystem. His content delves into decentralized systems, the philosophical underpinnings of digital currencies, and the future trajectory of web decentralization, shaping conversations across various platforms.
Watcher.Guru
Watcher.Guru provides real-time, unbiased coverage of the global cryptocurrency and finance markets. Through high-frequency updates on Twitter, they deliver breaking news on blockchain regulation, market movements, and institutional adoption to a global audience.
CoinDesk
CoinDesk is a prominent global media company delivering news, insights, and data on cryptocurrency and blockchain technology. They cover market trends, future innovations, and host industry-leading events like Consensus, providing comprehensive analysis across various digital platforms, including their podcasts and specialized market reports.
Mario Nawfal
Mario Nawfal is a leading Web3 entrepreneur and host on X, providing 24/7 live streams and market analysis on business, technology, and global crypto markets. As a venture capitalist, he delivers deep insights into startup investing, digital asset trends, and breaking blockchain news.
Gary Vaynerchuk
Gary Vaynerchuk is a leading entrepreneur and NFT pioneer, renowned for founding VeeFriends and shaping the digital asset landscape. His content offers educational insights, market analysis, and business strategies, bridging traditional ventures with Web3 culture to highlight long-term value, community building, and digital ownership across various global platforms.
Cointelegraph
Cointelegraph is a leading global media outlet providing comprehensive coverage of the cryptocurrency and blockchain industry. Since 2013, they've delivered breaking news, in-depth research, and expert podcasts across multiple digital platforms, offering critical analysis and interviews for the Web3 community.
Latest X Posts
https://paragraph.com/@heroglyphs/seba https://t.co/SqdnbdUJWY

Seba onboarding period is live! https://seba.heroglyphs.com/ Learn more here: https://docs.heroglyphs.com/seba
https://t.co/bvGsK4GWIQ

https://x.com/0xmaki/status/1955211404492873751?s=46&t=gaFOyyp-oCzyLIHeVDz7RQ
Early simulations on Seba https://t.co/4QTaif3eJc
